Carboxyméthylcellulose sodique CAS n° 9004-32-4
Numéro CAS : 9004-32-4
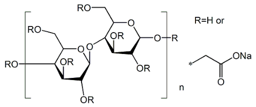
Formule chimique :C6H7O2(OH)2CH2COONa
Synonymes :
CARBOXYMÉTHYLCELLULOSE DE SODIUM (CMC)
Aquacide I, Calbiochem
Aquacide II, Calbiochem
MOQ (Quantité minimale de commande) :1 FCL (chargement complet d'un conteneur)
Apparence:Blanc solide
Carboxyméthylcellulose sodique CAS n° 9004-32-4
La carboxyméthylcellulose de sodium (9004-32-4) est un polymère soluble dans l'eau. En solution dans l'eau, il possède des propriétés thixotropes. Il est utile pour aider à maintenir les composants de compositions pyrotechniques en suspension aqueuse (par exemple, dans la fabrication d'allumettes noires). C'est également un liant particulièrement efficace qui peut être utilisé en petites quantités dans des compositions, dans lesquelles le liant peut interférer avec l'effet recherché (par exemple dans des compositions stroboscopiques). Cependant, sa teneur en sodium exclut évidemment son utilisation dans la plupart des compositions colorantes. La carboxyméthylcellulose de sodium est fabriquée à partir de cellulose par divers procédés qui remplacent certains des atomes d'hydrogène des groupes hydroxyle [OH] de la molécule de cellulose par des groupes carboxyméthyles acides [-CH2CO.OH], qui sont neutralisés pour former le sel de sodium correspondant. La carboxyméthylcellulose sodique est blanche lorsqu'elle est pure ; Le matériau de qualité industrielle peut être constitué de granulés ou de poudre blanc grisâtre ou crème.
Propriétés chimiques de la carboxyméthylcellulose sodique |
Point de fusion |
274 °C (déc.) |
densité |
1,6 g/cm3 |
indice de réfraction |
1.515 |
FEMA |
2239 | CARBOXYMÉTHYLCELLULOSE |
température de stockage |
température ambiante |
solubilité |
H2O : 20 mg/mL, soluble |
pka |
4,30 (à 25 °C) |
formulaire |
faible viscosité |
couleur |
Blanc à jaune clair |
Odeur |
Inodore |
PH |
pH (10 g/l, 25 °C) 6,0~8,0 |
Plage de pH |
6,5 - 8,5 |
source biologique |
bois (pâte à papier) |
Solubilité dans l'eau |
soluble |
Merck |
14 1829 |
Stabilité: |
Stable. Incompatible avec les agents oxydants puissants. |
Fonctions des ingrédients cosmétiques |
STABILISATION DES ÉMULSIONS |
Revue des ingrédients cosmétiques (CIR) |
Carboxyméthylcellulose sodique (9004-32-4) |
InChI |
1S/C6H12O6.C2H4O2.Na/c7-1-3(9)5(11)6(12)4(10)2-8;1-2(3)4;/h1,3-6,8-12H,2H2;1H3,(H,3,4); |
InChIKey |
DPXJVFZANSGRMM-UHFFFAOYSA-N |
SOURIRES |
[Na].OC(C(O)C(O)C=O)C(O)CO.OC(=O)C |
Système d'enregistrement des substances de l'EPA |
Carboxyméthylcellulose sodique (9004-32-4) |
Informations de sécurité |
Déclarations de risques |
40 |
Consignes de sécurité |
24/25 |
WGK Allemagne |
1 |
RTECS |
FJ5950000 |
F |
3 |
Température d'auto-inflammation |
698 °F |
TSCA |
Répertorié TSCA |
Code SH |
39123100 |
Classe de stockage |
11 - Solides combustibles |
Toxicité |
DL50 orale chez le lapin : > 27 g/kg |
Application du produit carboxyméthylcellulose sodique CAS n° 9004-32-4
Le sel de sodium de carboxyméthylcellulose est utilisé dans les boues de forage, les détergents comme agent de suspension des sols, les peintures à base d'émulsions de résine, les adhésifs, les encres d'imprimerie, les apprêts textiles et les colloïdes protecteurs. Il sert de stabilisant dans les aliments. On le retrouve également en pharmacie comme agent de suspension et excipient pour les comprimés. Il est utilisé comme modificateur de viscosité pour stabiliser les émulsions. Il est employé comme lubrifiant dans les larmes artificielles et pour caractériser l'activité enzymatique des endoglucanases.
Salon des usines et des équipements
Délai de livraison rapide
Délai d'approvisionnement : 2 à 3 jours ouvrables. Délai de production : 7 à 10 jours ouvrables.


